Haryana CET 2025 Notification: हरियाणा में नौकरी की तलाश कर रहे युवाओं के लिए बड़ी खबर है। हरियाणा कर्मचारी चयन आयोग (HSSC) ने CET यानी कॉमन एलिजिबिलिटी टेस्ट 2025 का नोटिफिकेशन जारी कर दिया है। जो उम्मीदवार ग्रुप C और ग्रुप D की सरकारी नौकरियों के लिए आवेदन करना चाहते हैं, उनके लिए ये सुनहरा मौका है।
आवेदन की तारीखें:
आवेदन शुरू: 28 मई 2025
आवेदन की अंतिम तिथि: 12 जून 2025
फीस जमा करने की अंतिम तारीख: 14 जून 2025 शाम 6 बजे तक
परीक्षा से जुड़ी अहम बातें:
CET परीक्षा की तारीख आयोग की वेबसाइट पर अलग से जारी की जाएगी।
परीक्षा 1 घंटा 45 मिनट की होगी।
पेपर 100 नंबर का होगा, जिसमें वस्तुनिष्ठ (Objective) प्रकार के प्रश्न होंगे।
कौन कर सकता है आवेदन?
हरियाणा राज्य के वे अभ्यार्थी जो ग्रुप C और ग्रुप D की पोस्ट्स के लिए आवेदन करना चाहते हैं, वे CET के लिए पात्र होंगे। आवेदन HSSC की ऑफिशियल वेबसाइट पर जाकर किया जा सकता है।
ध्यान रखने योग्य बातें:
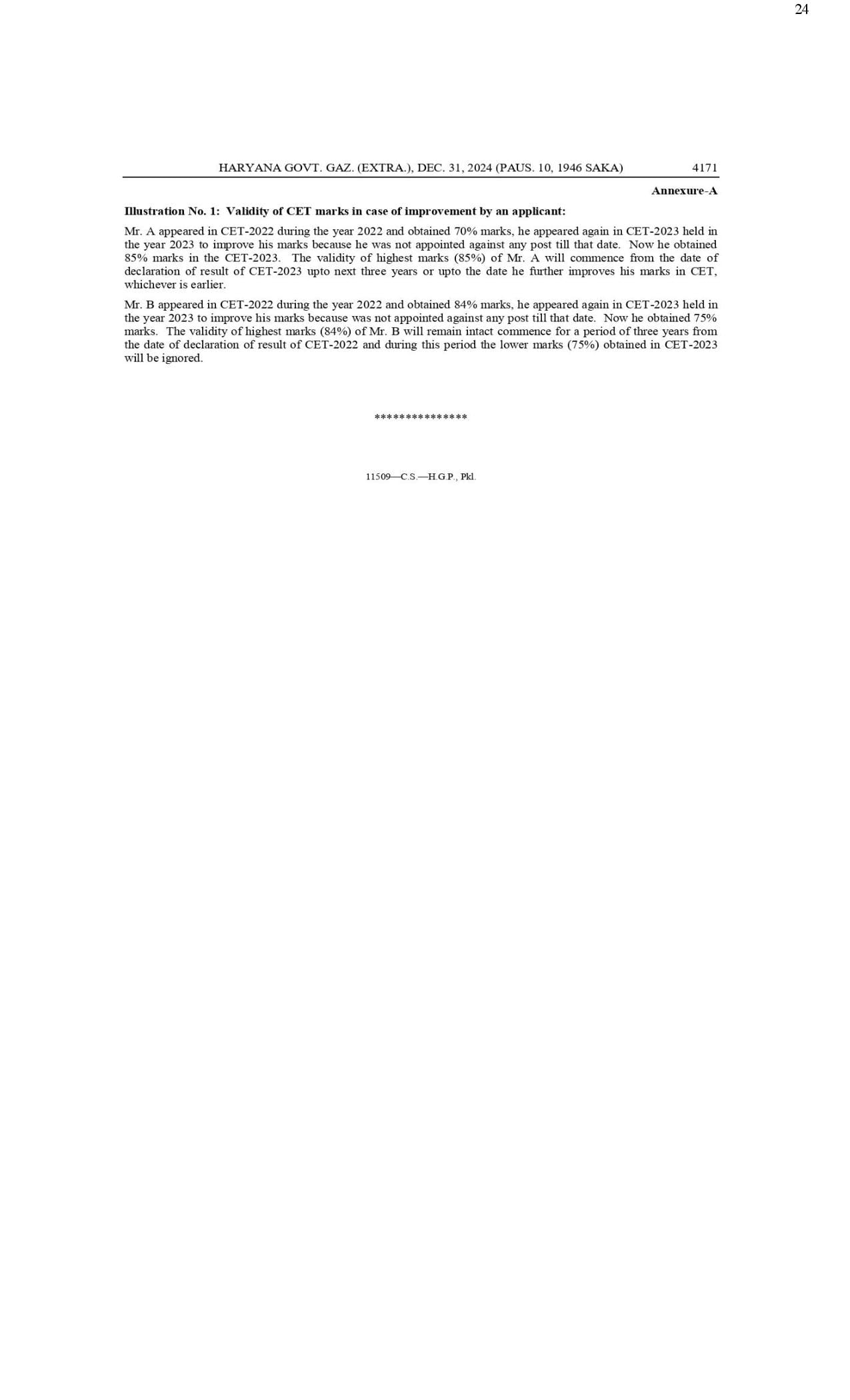
एक बार CET पास करने के बाद अभ्यर्थी को 3 साल तक ग्रुप C और D की वैकेंसी के लिए पात्र माना जाएगा।
CET स्कोर के आधार पर आगे की भर्ती प्रक्रिया पूरी की जाएगी।
जरूरी दस्तावेज़:
आधार कार्ड
स्थायी निवासी प्रमाण पत्र
10वीं/12वीं की मार्कशीट
जाति प्रमाण पत्र (यदि लागू हो)
पासपोर्ट साइज फोटो और सिग्नेचर
अगर आप हरियाणा में सरकारी नौकरी के इच्छुक हैं तो CET 2025 आपके लिए सुनहरा अवसर है। अंतिम तारीख का इंतजार न करें — समय रहते आवेदन कर दें और तैयारी में जुट जाएं।
देखें नोटिफिकेशन






















































